Some important correlations
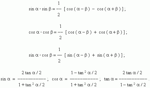
Universal substitution.
Quadruple-angle formulas.
 
  The last three formulas are called a universal substitution ; they are used at solving some of trigonometric equations and integrating of trigonometric functions.
 
  Knowledge is Power (F. Bacon)
 
  The last three formulas are called a universal substitution ; they are used at solving some of trigonometric equations and integrating of trigonometric functions.
